V型块适用于精密轴类零部件的检测,划线,定位等,是平台测量中的重要辅助工具。今天就让夹具侠带大家学习关于V型块的相关计算与夹紧图示。
图1 花岗石V形块
一、V形块的尺寸及定位误差的计算
图2 参数示意图
当工件以外圆柱面定位时,V形块是用得最多的定位元件,由于定位不准而造成工序尺寸或位置要求方面的加工误差。V形块的尺寸及定位误差的计算公式见表3。
表3 计算公式表格
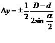
注:1. 为使定位误差对称分布,在计算V形块尺寸H和B时,公式中的D值可取定位面的中间尺寸,即

此时定位误差:

2. V形块的工作角度α越大,定位误差越小,但工作角度α越大,定位稳定性越差。所以一般常用工作角度为90o。
二、V型块固定图例
V型块是可以固定或者活动的,当他们被弹簧加载时,他们将会自动退出。在其他一些实例中,也可用夹紧螺钉使他们退出。
图4
图5
图6
图7
图8
三、关于V型块固定的改进
3.1 以前镗筒体内孔用的两种V 型块
图9 固定式V 型块(左一)与微小调节V 型块(右一右二)
使用固定式V 型块在找正时,如果偏离了只能通过捶打来调节,操作者每次使用的力度都不一样,这样会使一个方向的偏离转到另一个方向的偏离,反复进行,这样需要消耗很多时间,加大了滚筒加工的成本和操作者的劳动强度。
使用微小调节V型块同时也是劳动强度很大的,因为这种V 型块是整体的,而仅仅是通过螺杆螺纹联接来传递动力的,这种动力是很小的却需要很大的动力源 ,虽然这种调节是微小的但是对于操作者来说的劳动强度比较大。
3.2 镗床可调V 型块的创新设计
如图9所示,这种可调V 型块的设计原理是在上述两种V 型块的基础上做了两个方面的改造:
图10 可调V 型块结构图
1-螺杆,2-六角薄螺母,3-弹簧垫圈24,4-平垫圈,5-T形槽用螺栓 ,6-后座,
7-压盖,8-深沟球轴承,9-推力球轴承,10-滑块,
11-羊毛毡,12-六角头螺栓
1) 把原来由螺杆的左右旋向改为由深沟球轴承和推力球轴承来实现动力的传递,深沟球轴承只承受径向载荷而推力球轴承只承受轴向载荷而且承受的轴向载荷比较大;
2) 把整体V 型块分解为两个单独的V 型块,并与镗床工作台T 型槽固定,这样保证了对称性和稳定性;
通过上述这两点可以看出,这种V 型块能方便地传递动力源并且操作者的劳动强度降低了,很大程度上减少了生产成本,提高了效率和质量,但是一段时间内就要对轴承进行润滑保护作用,而且在加工大滚筒时螺纹的自锁能力不够强。
东莞潇洒职业培训学校开设课程有:学历提升、数控编程培训、塑胶模具设计培训,压铸模具设计培训、冲压模具设计培训,精雕、ZBrush圆雕培训、Solidworks产品设计培训、pro/E产品设计培训、AutoformR7工艺分析培训,潇洒职业培训学校线下、线上网络学习方式,随到随学,上班学习两不误,欢迎免费试学!联系电话:13018639977
联系电话:13018639977(微信同号)QQ:2033825601
学习地址:东莞市横沥镇新城工业区兴业路121号-潇洒职业培训学校
1;所有标注为智造资料网zl.fbzzw.cn的内容均为本站所有,版权均属本站所有,若您需要引用、转载,必须注明来源及原文链接即可,如涉及大面积转载,请来信告知,获取《授权协议》。
2;本网站图片,文字之类版权申明,因为网站可以由注册用户自行上传图片或文字,本网站无法鉴别所上传图片或文字的知识版权,如果侵犯,请及时通知我们,本网站将在第一时间及时删除,相关侵权责任均由相应上传用户自行承担。
[complaint:内容投诉]
智造资料网打造智能制造3D图纸下载,在线视频,软件下载,在线问答综合平台 » V型块的相关计算与夹紧图示一、V形块的尺寸及定位误差的计算二、V型块固定图例三、关于V型块固定的改进

